In Version 3.4, the developers have finally completed the Cyclicality content of Amphoreus! However, before understanding the principle of the Cyclicality, I am very curious about why the number of cycles is 33550336 and whether many of the numeric codes appearing in the storyline might have hidden meanings. Let us explore this together today.

First, it must be mentioned that this number did not debut in Version 3.4 or in Phainon's PV, but rather in the April Fools' Day PV "The Grand Restaurant," which everyone thought was a joke. The popularity value on the poster of this PV was exactly this number.
Secondly, Lygus specifically mentioned that this is a perfect number. What is a perfect number? A perfect number refers to "a natural number where the sum of all its proper factors equals itself", for example, 6 = 1 + 2 + 3. And 33550336 is the fifth among the 51 perfect numbers discovered so far. The first four were all discovered during the ancient Greek period before the 1st century BC. At first glance, this seems quite fitting for the stylistic prototype of Amphoreus. Moreover, Version 3.4 happens to be the fifth version since Version 3.0. Even from the perspective of the map, Amphoreus is the fifth map we have trailblazed.
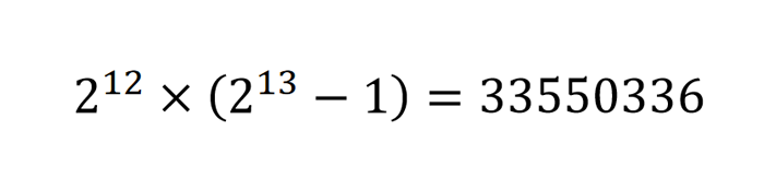
If we apply Euclid's formula for deriving perfect numbers, 33550336 is obtained as follows:

A closer look reveals four key numbers: 1, 2, 12, and 13. Among them, the numbers 2 and 13 are certainly very familiar to many Trailblazers. The formula for calculating the number of fragments, 8196, which appears in the achievements of the Amphoreus Simulated Universe, also contains 2 raised to the 13th power. It is speculated that the meaning is that there are 13 Titans, including Cyrene, and Dan Heng and I are 2 variables. The number 13 was also once again used by Lygus in Version 3.4 as a metaphor for the number of heartbeats. All of the above are merely speculation; specifically, we still need to examine whether there is any deeper connection or narrative metaphor between 33550336 and 8196.
Interestingly, when converted to binary, the first 13 bits of 33550336 are 1s and the last 12 bits are 0s. In Lygus's final dialogue with Phainon, he mentioned "from 0 to 1." Previously, only 12 individuals from the Khaslana underwent the eternal cyclicality, and the experiment had always been at 0. It wasn't until the Trailblazer was willing to shoulder the hero's burden of saving the world, becoming the 13th person, that the progress in the experiment report began to turn. Most intriguingly, if the number 33550336 is interpreted as an octal number and converted to hexadecimal, it yields "6ed0de," which exactly matches a pixel color found in Phainon's eye color.

After discussing 33550336, we must mention the second number that is highly intriguing—"the third seven days of 'Evernight.'" When did Evernight appear? It was in the storyline of Version 3.1. Opening the calendar of Amphoreus reveals that Evernight is March, representing the Titan Oronyx corresponding to Cyrene. Cyrene was also described by people from the Garden of Recollection as being, like March 7th, a child of memory; the two even teased each other about their similarities. Recalling that in Version 3.0, Oronyx called March 7th's camera "mother," perhaps there truly is some indescribable relationship between them. So, what significance do the third seven days of March, from the 15th to the 21st, hold? Currently, there don't appear to be any special holidays during this period, so it's temporarily impossible to ascertain whether it is related to March 7th.
However, everyone should note an early foreshadowing from the game's launch: firstly, March 7th in the false ending is not her original name. July in Amphoreus is the time of Kephale, also known as Worldbearing; July is also the month of freedom.

Returning to the previous question: is March 7th a native of Amphoreus? This time, "As I've Written" updated the Chrysos Heir of the Ages, but the details within don't resemble Cyrene or the Trailblazer at all. March 7th also entered Amphoreus through a special method. So, as the Trailblazer encounters the Titan of Ages in the next cycle, will it be Cyrene or March 7th?

This storyline also revealed the internal codes within the Scepter for Phainon and Cyrene: NeiKos496 and PhiLia093, respectively. The numbers 496 and 093 might be codes representing individuals corresponding to factors in different cycles, but the prefix phrases are very worth discussing. "Neikos" and "Philia" refer to strife and love, and the place where these two words appear simultaneously is in the cosmology of Empedocles—the very prototype of Anaxa's teacher. He established that the world is composed of earth, water, fire, and air. The force that unites them is called "love," and the force that separates them is "strife." The ancient Greek theory of the four elements represents the world. So, when Lygus says Phainon and Cyrene are the two final roots of the equation, it indeed sounds profoundly philosophical.

Why is Phainon said to be the final root? From Lygus's perspective, for the Scepter to take revenge on Nous, the only thing to do is to make things fall apart through Strife. This is precisely why we see in the storyline that the force uniting the Chrysos Heirs is "Love," yet the grand theme of Amphoreus has always been "Strife"—struggling against the Black Tide, struggling against the Council of Elders, struggling against Lygus, struggling against the Scepter, struggling with oneself...
That concludes the speculative reasoning triggered by several numeric codes after Version 3.4. If you have gained a deeper understanding of Amphoreus after reading this, feel free to stay tuned for our articles—we will bring more storyline content! Of course, don't forget to check out the on-site merchandise as well.